В основе мечты человечества об управляемом термоядерном синтезе — источнике практически неисчерпаемой и чистой энергии — лежит способность создавать и удерживать вещество в экстремальном состоянии, называемом плазмой, при температурах в сотни миллионов градусов. Наиболее перспективным устройством для этого является токамак — тороидальная (в форме «пончика») магнитная ловушка. Чтобы управлять плазмой и не дать ей коснуться стенок реактора, ученым необходимо с высочайшей точностью измерять ее ключевые параметры в реальном времени, прежде всего — ее давление и запасенную тепловую энергию.
Одним из важнейших методов такого измерения является диамагнитная диагностика. Горячая плазма, подобно газу в воздушном шаре, «раздувается» и вытесняет удерживающее ее магнитное поле. Это явление, называемое диамагнетизмом, порождает слабый сигнал, который улавливается специальными датчиками. На протяжении многих лет для расшифровки этого сигнала и пересчета его в значение давления плазмы (характеризуемого параметром «бета-полоидальное», βp) использовалась стандартная, относительно простая аналитическая формула. Она стала своего рода «градусником» для термоядерной установки, надежность которого долгое время не подвергалась сомнению. Однако по мере того как эксперименты на токамаках становились все сложнее и достигали новых режимов с высоким давлением, ученые в разных лабораториях мира начали замечать расхождения между данными диамагнитной диагностики и показаниями других измерительных систем.
Команда российских исследователей поставила перед собой задачу систематически проверить, насколько точна эта общепринятая формула, и определить границы ее применимости. Для этого они использовали надежный вычислительный код SPIDER, который позволяет создавать детальную цифровую модель равновесия плазмы в токамаке. С помощью этого «виртуального токамака» ученые смогли смоделировать огромное количество различных состояний плазмы, варьируя в широких пределах не только ее давление (βp), но и другой важный параметр — внутреннюю индуктивность (li), которая описывает, как электрический ток распределен по сечению плазменного шнура. Для каждой из тысяч смоделированных конфигураций они вычисляли точный диамагнитный сигнал, предсказываемый фундаментальными законами физики, и сравнивали его с результатом, который давала стандартная упрощенная формула. Результаты работы опубликованы в журнале Physics of Plasmas.
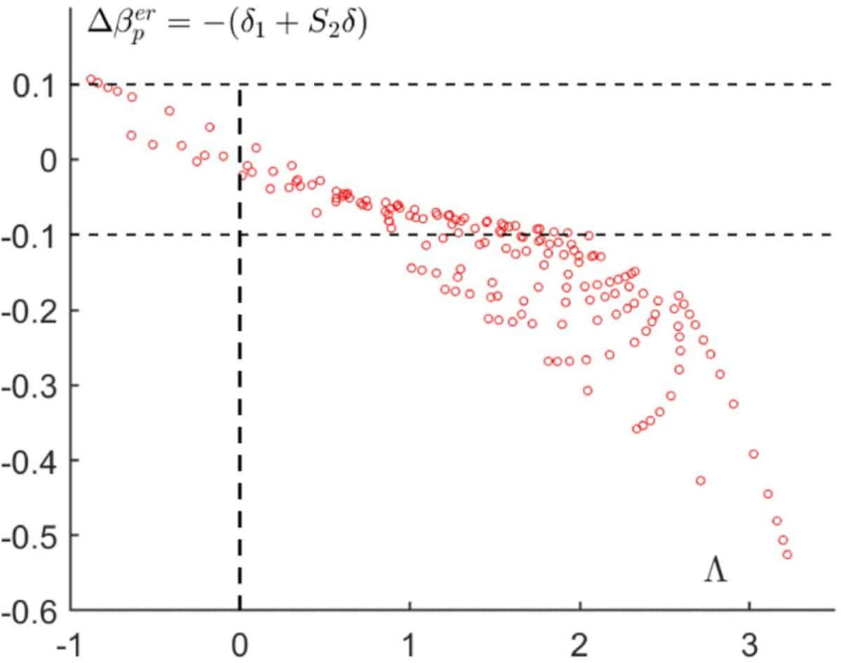
Результаты оказались весьма показательными. Выяснилось, что стандартная формула точна лишь в узком диапазоне состояний плазмы, а именно когда комбинация параметров βp + li/2 близка к единице. Если этот параметр меньше единицы, что характерно для режимов с низким давлением, формула начинает систематически завышать реальное давление плазмы. И наоборот, в режимах с высоким давлением, к которым стремятся современные установки и будущий реактор ИТЭР, когда βp + li/2 становится значительно больше единицы, формула дает заниженное значение. Погрешность может достигать десятков процентов, что является недопустимым для надежного управления термоядерной реакцией.
Владимир Пустовитов, научный сотрудник кафедры плазменной энергетики МФТИ, пояснил: «Мы обнаружили, что стандартная формула, которую десятилетиями использовали как надежный инструмент, имеет своего рода «слепое пятно». Ее точность зависит не только от давления плазмы, как считалось ранее, но и от распределения тока внутри нее. Это похоже на то, как если бы обычный термометр правильно показывал 36.6 °C, но завышал температуру при 35 градусах и занижал при 39. В некоторых режимах работы токамака этот «градусник» может давать оптимистичную, завышенную оценку состояния плазмы, а в других, наоборот, пессимистичную. Наше исследование дает карту этих погрешностей и предлагает более точный подход, основанный на строгих вириальных соотношениях, который позволяет избежать неверной интерпретации данных».
Проделанная работа впервые не просто констатирует наличие расхождений, а систематически картирует ошибку стандартной формулы в широком диапазоне параметров и выявляет истинную физическую причину этой ошибки — зависимость от комбинации давления и профиля тока. Предыдущие аналитические теории, на которых основана стандартная формула, учитывали лишь самые простые поправки, связанные с тороидальной формой плазмы, и оказались неточными. Численное моделирование позволило обойти эти упрощения и увидеть полную картину.
Точное знание энергии, запасенной в плазме, — это ключ к стабильной работе токамака. Недооценка этого параметра может привести к тому, что операторы будут слишком сильно «накачивать» плазму энергией, рискуя сорвать разряд, в то время как переоценка может привести к неэффективной работе установки. Предложенный в работе более точный подход к анализу диамагнитных измерений позволит ученым и инженерам на действующих и будущих установках, включая ИТЭР, получать более достоверную информацию о состоянии плазмы, что необходимо для отладки сценариев зажигания и удержания термоядерной реакции.
Исследование также ставит новую задачу перед теоретиками — разработать новые, более точные и при этом достаточно простые аналитические формулы, которые могли бы заменить устаревший стандарт и использоваться в системах управления плазмой в реальном времени. Это еще один важный шаг на долгом пути к созданию надежного и эффективного термоядерного реактора.
Ландшафт ошибки: навигационная карта для физика-термоядерщика. Эта диаграмма представляет собой «операционное пространство» токамака. По горизонтали отложено давление плазмы (βp), а по вертикали — параметр, характеризующий распределение тока (li/2). Каждая точка — это результат одного численного эксперимента. Зеленые точки (круги) — «безопасная зона», где ошибка стандартной формулы менее 15%. Синие точки (квадраты) — «зона предупреждения», где ошибка составляет от 15% до 40%. Красные точки (треугольники) — «опасная зона» с ошибкой более 40%. Эта карта наглядно показывает, что стандартной формуле нельзя доверять в режимах как с очень низким, так и с очень высоким давлением, а также при сильно сжатом профиле тока (большие значения li/2)