Ученые создали новый тугоплавкий сплав на основе ниобия, молибдена, тантала и ванадия. Материал по прочности и пластичности превосходит ряд промышленно используемых тугоплавких сплавов и сохраняет свои свойства в широком диапазоне температур — от комнатной до 1000°C. Разработка будет полезна в аэрокосмической промышленности, энергетике и других сферах, где нужны материалы, устойчивые к экстремальным нагрузкам и высоким температурам. Результаты исследования, поддержанногоexternal link, opens in a new tab грантом Российского научного фонда (РНФ), опубликованыexternal link, opens in a new tab в International Journal of Refractory Metals and Hard Materials.
Авиационная, космическая и энергетическая промышленность требуют разработки новых материалов с высокой прочностью, пластичностью и устойчивостью к нагреву вплоть до 1000°C и выше. Широко используемые на сегодняшний день сплавы на основе никеля и титана не всегда справляются с требованиями по жаропрочности и долговечности. В последние годы внимание ученых привлекли тугоплавкие композиционно-сложные сплавы, также известные как высокоэнтропийные сплавы, — материалы, состоящие из пяти и более металлов. Некоторые из уже существующих композиций устойчивыexternal link, opens in a new tab к окислению и не теряютexternal link, opens in a new tab прочность даже при нагреве до 2000°C, однако часто имеют слишком низкую пластичность, из-за чего легко разрушаются при деформации (например, сгибании).
Ученые из Санкт-Петербургского государственного морского технического университета (Санкт-Петербург) и Сколковского института науки и технологий (Москва) на основе расчетных данных предложилиexternal link, opens in a new tab серию композиционно-сложных сплавов, состоящих из ниобия, молибдена, тантала и ванадия, взятых в различных концентрациях. Эти элементы были выбраны исходя из предположений о том, что их сплавы должны обладать высокой (более 2000°C) температурой плавления, чтобы обеспечить работоспособность вплоть до 1200°C, и легко обрабатываться давлением при комнатной температуре.
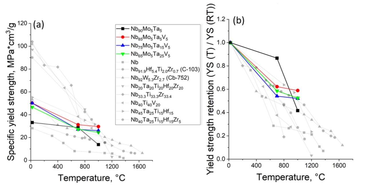
Сравнение механических свойств на растяжение предложенных сплавов с известными аналогамиYurchenko et al. / International Journal of Refractory Metals and Hard Materials, 2025Авторы синтезировали предложенные сплавы с помощью вакуумно-дугового переплава и провели деформационную обработку — холодную прокатку. Только четыре сплава показали хорошую обрабатываемость, тогда как остальные композиции разрушились при незначительной деформации.
Исследователи проанализировали микроструктуру прокатанных и отожженных сплавов и оценили их механические свойства. Образцы помещали в экспериментальную установку с температурой от 22°C до 1000°C, в которой они подвергались растяжению. Наиболее устойчивым к такой деформации оказался материал, в котором процентное соотношение атомов ниобия, молибдена, тантала и ванадия составило 85:5:5:5. При комнатной температуре он выдерживал нагрузку до 450 мегапаскаль (МПа), что оказалось выше возможностейexternal link, opens in a new tab ряда широко используемых в промышленности тугоплавких сплавов. При этом длина образца непосредственно перед разрывом оказалась на 39% больше исходной, что говорит о его высокой пластичности. Для сравнения, сплавы с большей концентрацией тантала (10–15% вместо 5%) были в 4–6 раз менее пластичными.
Эксперименты также показали, что при нагревании до 1000°C сплав с процентным соотношением металлов 85:5:5:5 сохранил 60% своей прочности, что превосходит большинство известных аналогов. Однако пластичность материала в таких условиях снизилась с 39% до 6% из-за возникновения большого количества трещин под действием высокой температуры и окисления.
«Полученный нами состав сочетает в себе высокую прочность и достаточную пластичность в диапазоне температур от комнатной до 1000°C. Он продемонстрировал уникальную устойчивость к потере прочности при высоких температурах, превзойдя промышленные тугоплавкие и ранее известные композиционно-сложные сплавы. Поэтому результаты исследования открывают перспективы для разработки новых конструкционных материалов для авиационных двигателей и энергетики, которые должны выдерживать значительные перепады температур», — рассказывает руководитель проекта, поддержанного грантом РНФ, Никита Юрченко, кандидат технических наук, ведущий инженер отдела дизайна металлических материалов Института лазерных и сварочных технологий (ИЛИСТ) Санкт-Петербургского государственного морского технического университета.

